Официальное опубликование правовых актов
ОФИЦИАЛЬНОЕ ОПУБЛИКОВАНИЕ
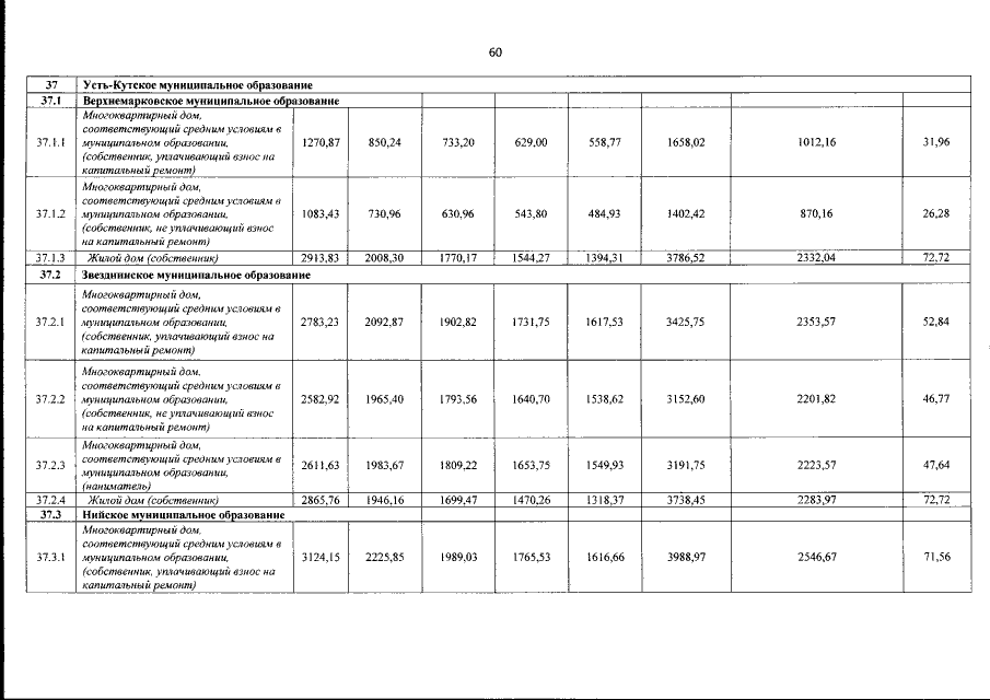
Постановление Правительства Иркутской области от 07.06.2016 № 348-пп
"О внесении изменений в размеры регионального стандарта стоимости жилищно-коммунальных услуг, дифференцированной по муниципальным образованиям Иркутской области, на 2015 год"
Номер опубликования: 3800201606080002
Дата опубликования: 08.06.2016
Страница №61 из 72:
Увеличить