Официальное опубликование правовых актов
ОФИЦИАЛЬНОЕ ОПУБЛИКОВАНИЕ
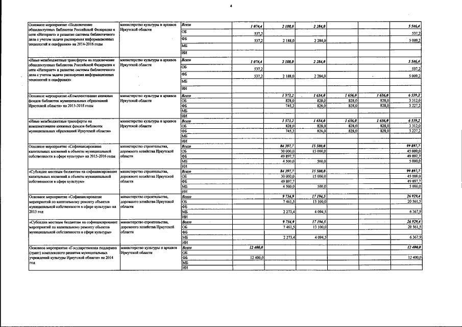
Постановление Правительства Иркутской области от 30.05.2016 № 322-пп
"О внесении изменений в государственную программу Иркутской области "Развитие культуры" на 2014 - 2018 годы"
Номер опубликования: 3800201606070011
Дата опубликования: 07.06.2016
Страница №31 из 36:
Увеличить