Официальное опубликование правовых актов
ОФИЦИАЛЬНОЕ ОПУБЛИКОВАНИЕ
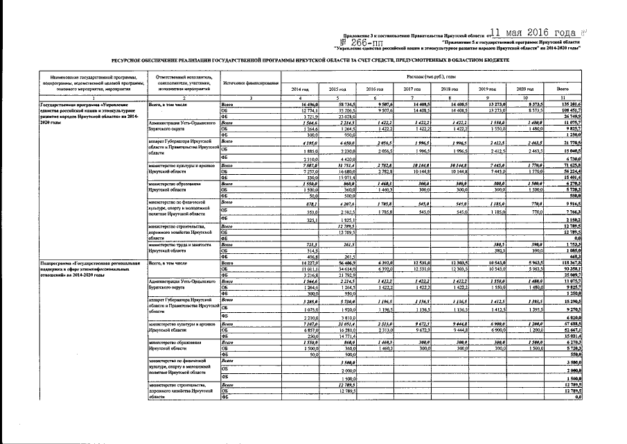
Постановление Правительства Иркутской области от 11.05.2016 № 266-пп
"О внесении изменений в государственную программу Иркутской области "Укрепление единства российской нации и этнокультурное развитие народов Иркутской области" на 2014-2020 годы"
Номер опубликования: 3800201605130002
Дата опубликования: 13.05.2016
Страница №23 из 37:
Увеличить