Официальное опубликование правовых актов
ОФИЦИАЛЬНОЕ ОПУБЛИКОВАНИЕ
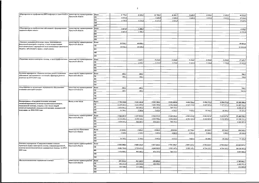
Постановление Правительства Иркутской области от 21.03.2016 № 149-пп
"О внесении изменений в государственную программу Иркутской области "Развитие здравоохранения" на 2014-2020 годы"
Номер опубликования: 3800201603250001
Дата опубликования: 25.03.2016
Страница №20 из 34:
Увеличить