Официальное опубликование правовых актов
ОФИЦИАЛЬНОЕ ОПУБЛИКОВАНИЕ
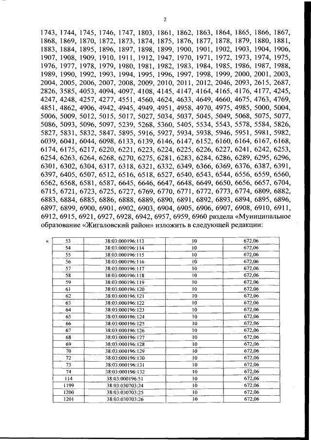
Постановление Правительства Иркутской области от 26.08.2015 № 422-пп
"О внесении изменений в приложение 1 к постановлению Правительства Иркутской области от 15 ноября 2013 года № 517-пп"
Номер опубликования: 3800201509010003
Дата опубликования: 01.09.2015
Страница №2 из 874:
Увеличить