Официальное опубликование правовых актов
ОФИЦИАЛЬНОЕ ОПУБЛИКОВАНИЕ
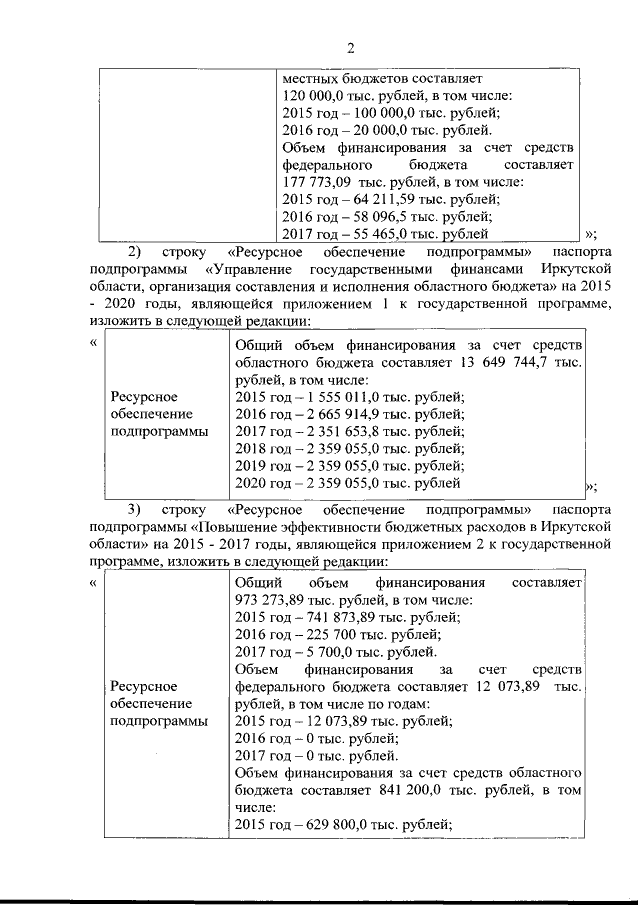
Постановление Правительства Иркутской области от 15.06.2015 № 297-пп
"О внесении изменений в государственную программу Иркутской области "Управление государственными финансами Иркутской области" на 2015 – 2020 годы"
Номер опубликования: 3800201506170002
Дата опубликования: 17.06.2015
Страница №2 из 20:
Увеличить