Официальное опубликование правовых актов
ОФИЦИАЛЬНОЕ ОПУБЛИКОВАНИЕ
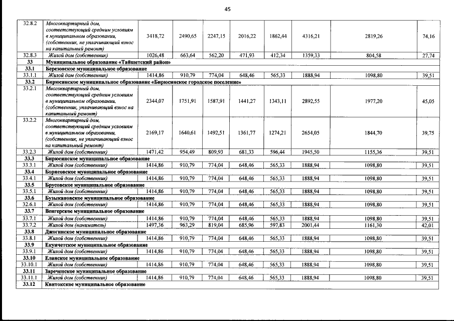
Постановление Правительства Иркутской области от 04.06.2015 № 274-пп
"О размерах регионального стандарта стоимости жилищно-коммунальных услуг, дифференцированной по муниципальным образованиям Иркутской области, на 2015 год"
Номер опубликования: 3800201506110001
Дата опубликования: 11.06.2015
Страница №46 из 67:
Увеличить