Официальное опубликование правовых актов
ОФИЦИАЛЬНОЕ ОПУБЛИКОВАНИЕ
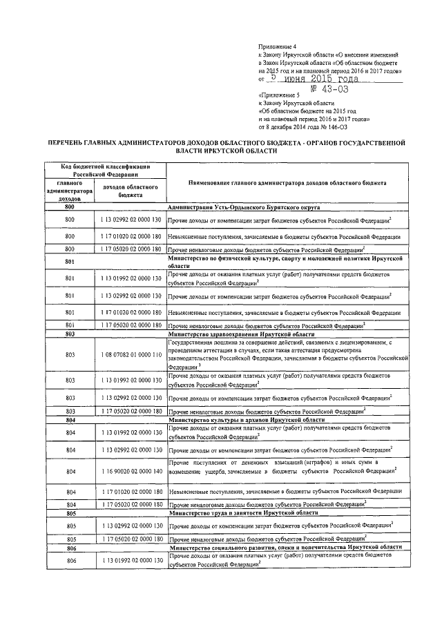
Закон Иркутской области от 05.06.2015 № 43-ОЗ
"О внесении изменений в Закон Иркутской области "Об областном бюджете на 2015 год и на плановый период 2016 и 2017 годов"
Номер опубликования: 3800201506100013
Дата опубликования: 10.06.2015
Страница №48 из 410:
Увеличить