Официальное опубликование правовых актов
ОФИЦИАЛЬНОЕ ОПУБЛИКОВАНИЕ
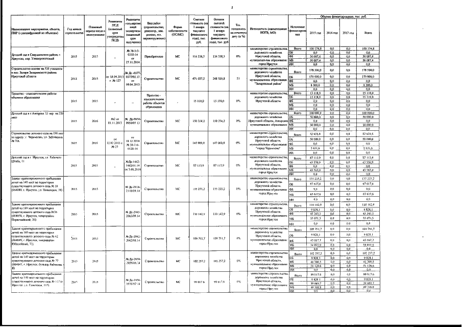
Постановление Правительства Иркутской области от 28.05.2015 № 267-пп
"О внесении изменений в государственную программу Иркутской области "Развитие образования" на 2014 – 2018 годы"
Номер опубликования: 3800201506030003
Дата опубликования: 03.06.2015
Страница №13 из 92:
Увеличить