Официальное опубликование правовых актов
ОФИЦИАЛЬНОЕ ОПУБЛИКОВАНИЕ
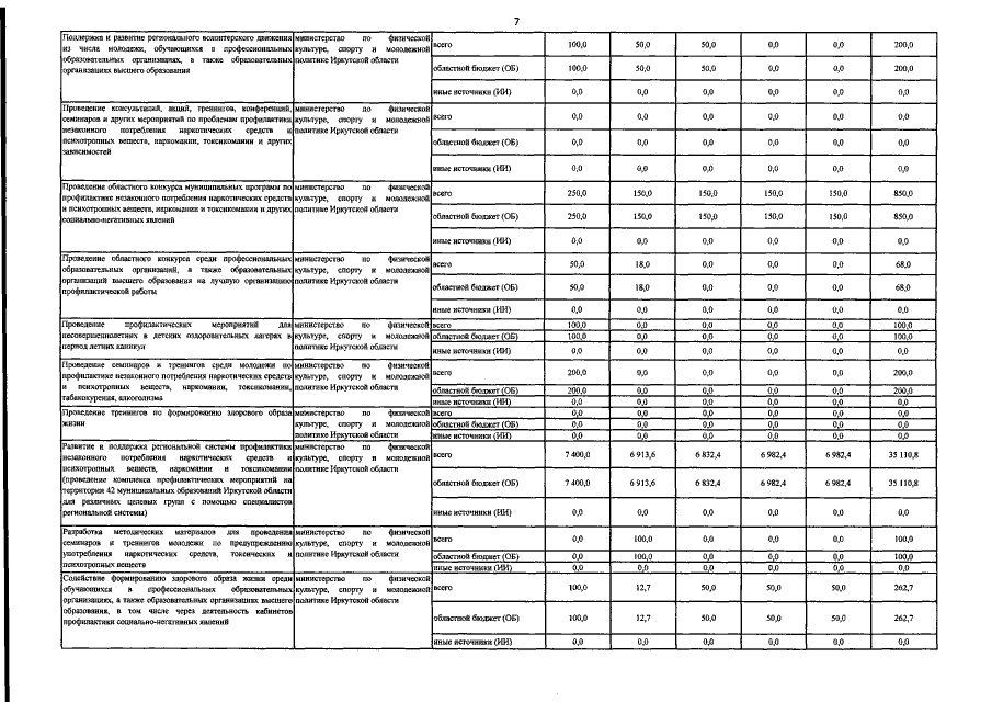
Постановление Правительства Иркутской области от 23.04.2015 № 189-пп
"О внесении изменений в государственную программу Иркутской области "Молодежная политика" на 2014 - 2018 годы"
Номер опубликования: 3800201504300004
Дата опубликования: 30.04.2015
Страница №44 из 47:
Увеличить