Официальное опубликование правовых актов
ОФИЦИАЛЬНОЕ ОПУБЛИКОВАНИЕ
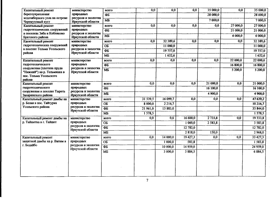
Постановление Правительства Иркутской области от 26.02.2015 № 62-пп
"О внесении изменений в государственную программу Иркутской области "Охрана окружающей среды" на 2014-2018 годы"
Номер опубликования: 3800201503030001
Дата опубликования: 03.03.2015
Страница №50 из 59:
Увеличить