Официальное опубликование правовых актов
ОФИЦИАЛЬНОЕ ОПУБЛИКОВАНИЕ
Указ Губернатора Ивановской области от 02.02.2026 № 7-уг
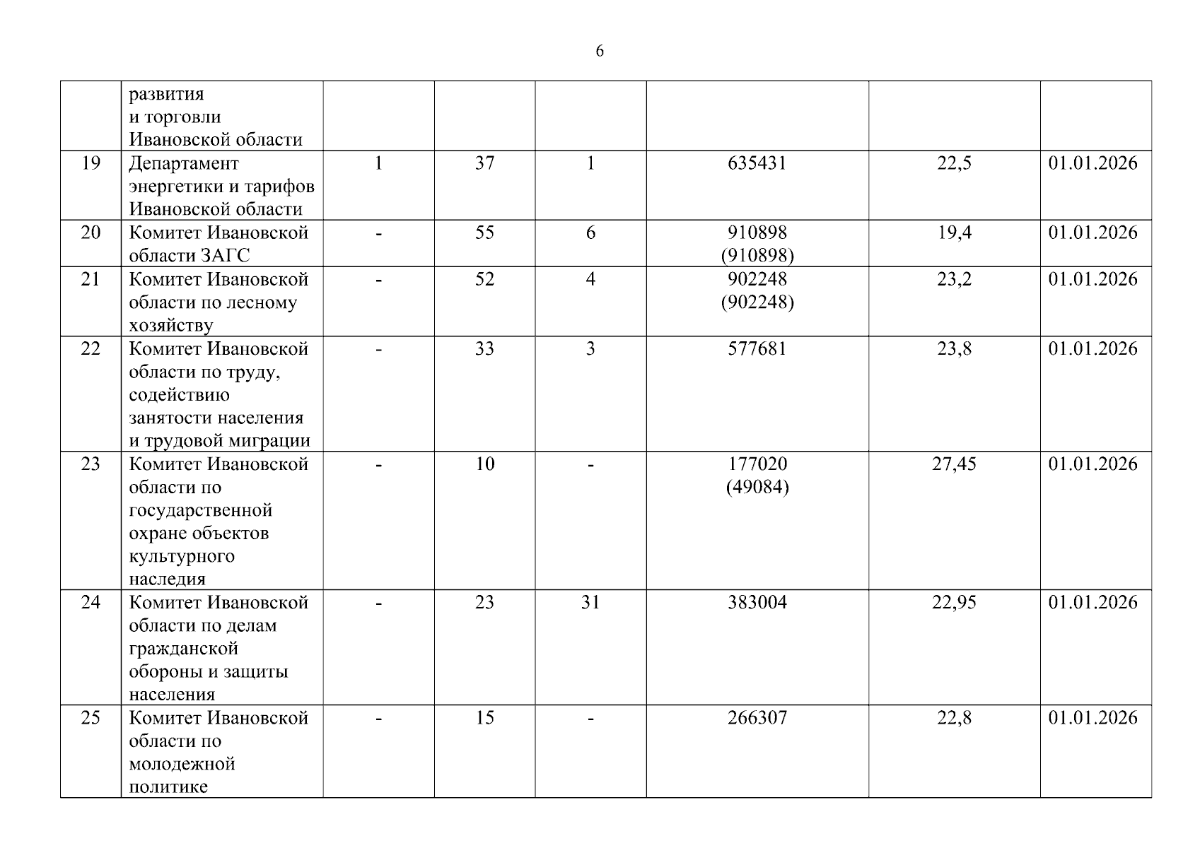
"О внесении изменений в указ Губернатора Ивановской области от 18.12.2012 № 241-уг "О предельной численности, фонде оплаты труда и ежемесячном денежном поощрении государственных гражданских служащих Ивановской области"
Номер опубликования: 3700202602040005
Дата опубликования: 04.02.2026
Страница №6 из 9:
Увеличить