Официальное опубликование правовых актов
ОФИЦИАЛЬНОЕ ОПУБЛИКОВАНИЕ
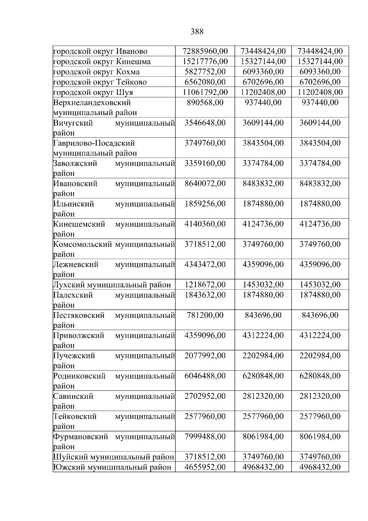
Закон Ивановской области от 19.12.2025 № 85-ОЗ
"О внесении изменений в Закон Ивановской области "Об областном бюджете на 2025 год и на плановый период 2026 и 2027 годов"
Номер опубликования: 3700202512190001
Дата опубликования: 19.12.2025
Страница №388 из 398:
Увеличить