Официальное опубликование правовых актов
ОФИЦИАЛЬНОЕ ОПУБЛИКОВАНИЕ
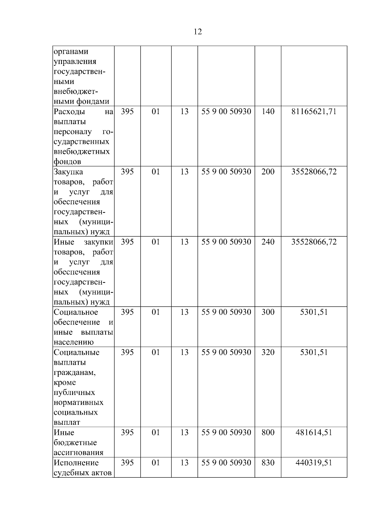
Закон Ивановской области от 02.12.2025 № 68-ОЗ
"О внесении изменений в Закон Ивановской области "О бюджете территориального фонда обязательного медицинского страхования Ивановской области на 2025 год и на плановый период 2026 и 2027 годов"
Номер опубликования: 3700202512030029
Дата опубликования: 03.12.2025
Страница №12 из 24:
Увеличить