Официальное опубликование правовых актов
ОФИЦИАЛЬНОЕ ОПУБЛИКОВАНИЕ
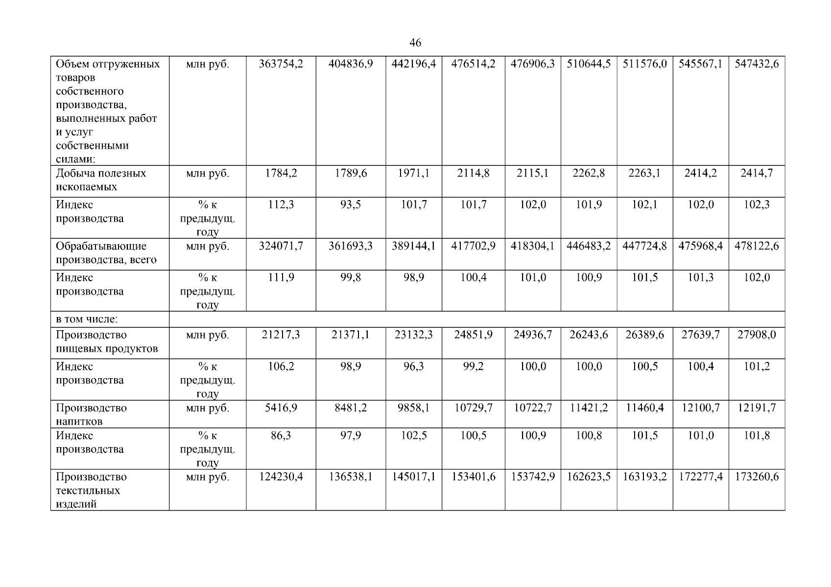
Постановление Правительства Ивановской области от 01.11.2025 № 442-п
"О прогнозе социально-экономического развития Ивановской области на 2026 год и плановый период 2027 и 2028 годов"
Номер опубликования: 3700202511060006
Дата опубликования: 06.11.2025
Страница №46 из 71:
Увеличить