Постановление Правительства Ивановской области от 15.10.2025 № 410-п
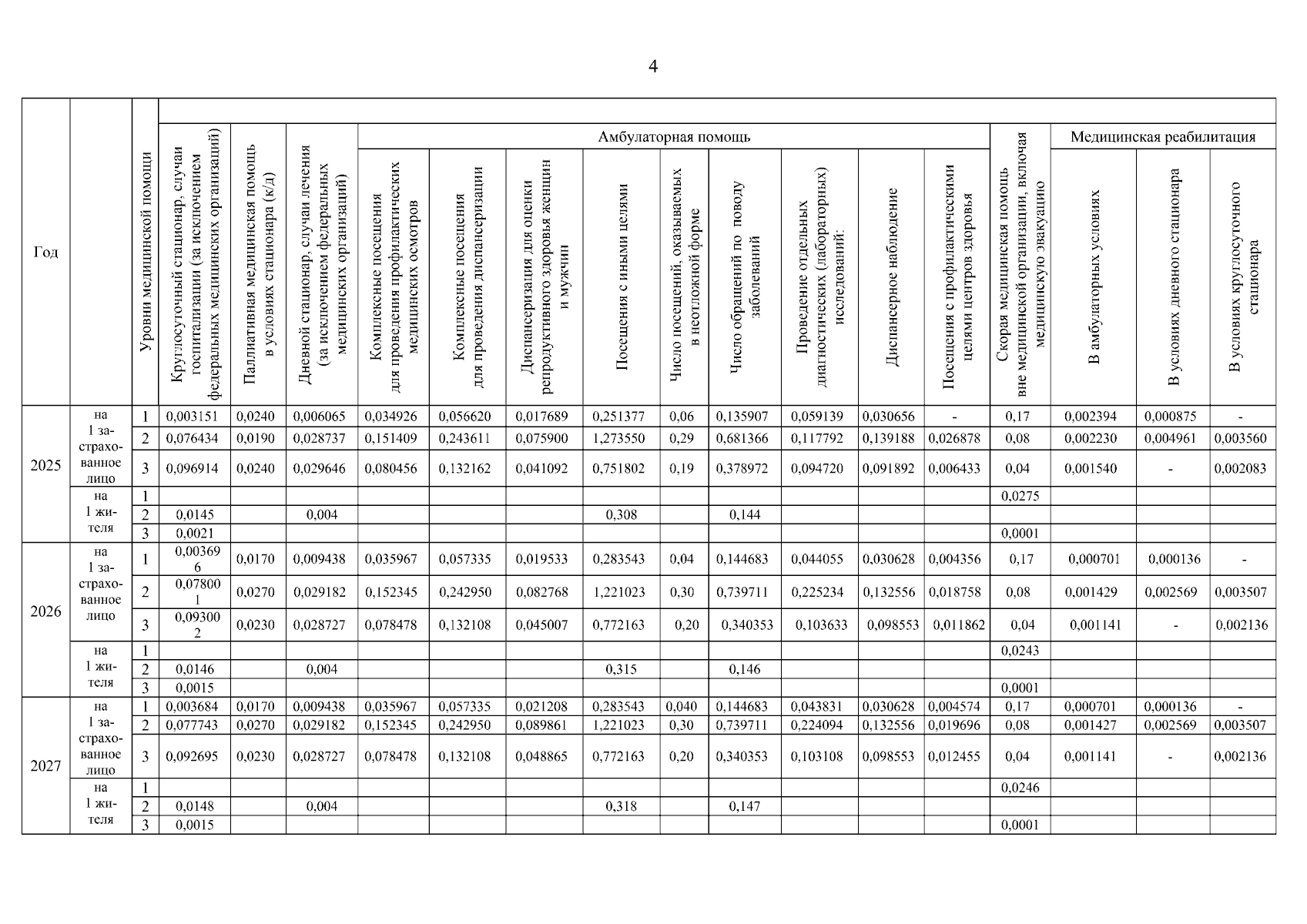
"О внесении изменений в постановление Правительства Ивановской области от 14.02.2025 № 54-п "Об утверждении Территориальной программы государственных гарантий бесплатного оказания гражданам медицинской помощи на территории Ивановской области на 2025 год и на плановый период 2026 и 2027 годов"
"О внесении изменений в постановление Правительства Ивановской области от 14.02.2025 № 54-п "Об утверждении Территориальной программы государственных гарантий бесплатного оказания гражданам медицинской помощи на территории Ивановской области на 2025 год и на плановый период 2026 и 2027 годов"
Номер опубликования: 3700202510170002
Дата опубликования:
17.10.2025
