Официальное опубликование правовых актов
ОФИЦИАЛЬНОЕ ОПУБЛИКОВАНИЕ
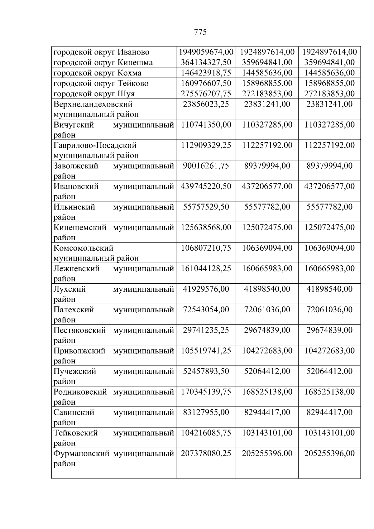
Закон Ивановской области от 01.10.2025 № 40-ОЗ
"О внесении изменений в Закон Ивановской области "Об областном бюджете на 2025 год и на плановый период 2026 и 2027 годов"
Номер опубликования: 3700202510020014
Дата опубликования: 02.10.2025
Страница №775 из 795:
Увеличить