Официальное опубликование правовых актов
ОФИЦИАЛЬНОЕ ОПУБЛИКОВАНИЕ
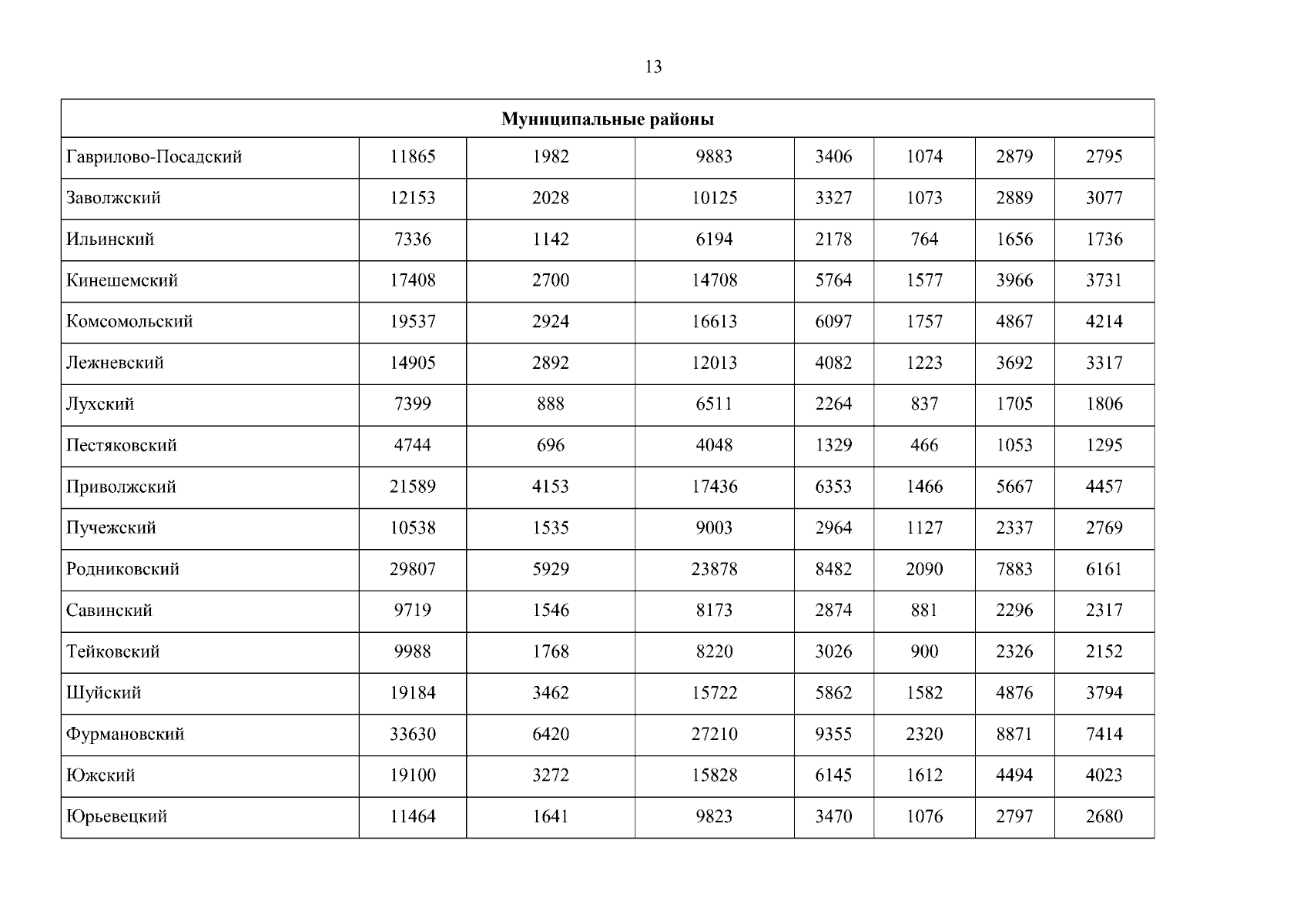
Постановление Правительства Ивановской области от 28.07.2025 № 312-п
"Об утверждении региональной программы Ивановской области "Борьба с онкологическими заболеваниями"
Номер опубликования: 3700202507300001
Дата опубликования: 30.07.2025
Страница №13 из 211:
Увеличить