Официальное опубликование правовых актов
ОФИЦИАЛЬНОЕ ОПУБЛИКОВАНИЕ
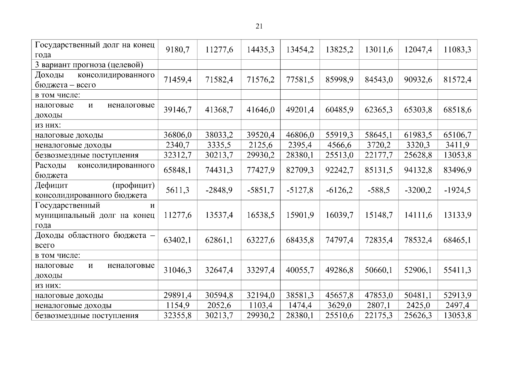
Постановление Правительства Ивановской области от 26.02.2025 № 71-п "О внесении изменений в постановление Правительства Ивановской области от 16.03.2023 № 134-п "Об утверждении бюджетного прогноза Ивановской области на 2023 – 2035 годы"
Номер опубликования: 3700202502280006
Дата опубликования: 28.02.2025
Страница №21 из 34:
Увеличить