Официальное опубликование правовых актов
ОФИЦИАЛЬНОЕ ОПУБЛИКОВАНИЕ
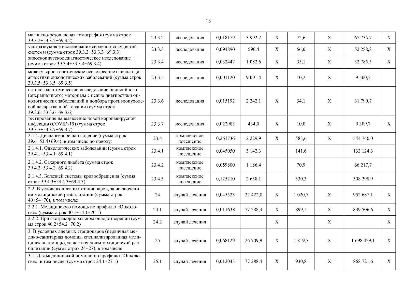
Постановление Правительства Ивановской области от 25.12.2024 № 653-п
"О внесении изменений в постановление Правительства Ивановской области от 19.02.2024 № 50-п "Об утверждении Территориальной программы государственных гарантий бесплатного оказания гражданам медицинской помощи на территории Ивановской области на 2024 год и на плановый период 2025 и 2026 годов"
Номер опубликования: 3700202412270017
Дата опубликования: 27.12.2024
Страница №16 из 26:
Увеличить