Официальное опубликование правовых актов
ОФИЦИАЛЬНОЕ ОПУБЛИКОВАНИЕ
Постановление Правительства Ивановской области от 26.12.2024 № 667-п
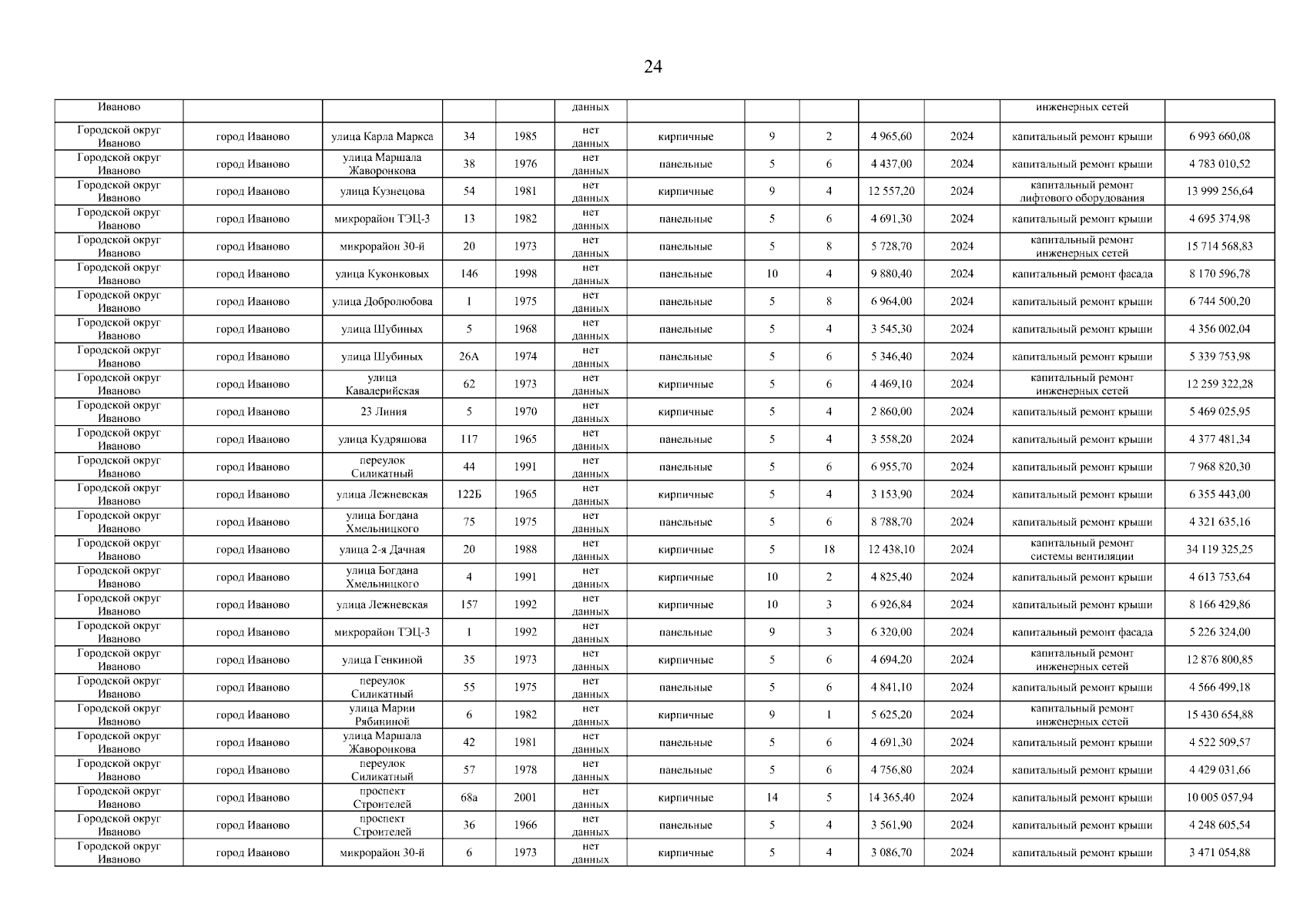
"О внесении изменения в постановление Правительства Ивановской области от 25.03.2024 № 106-п "Об утверждении краткосрочного плана реализации региональной программы капитального ремонта общего имущества в многоквартирных домах, расположенных на территории Ивановской области, на 2024 - 2026 годы"
Номер опубликования: 3700202412270008
Дата опубликования: 27.12.2024
Страница №24 из 88:
Увеличить