Официальное опубликование правовых актов
ОФИЦИАЛЬНОЕ ОПУБЛИКОВАНИЕ
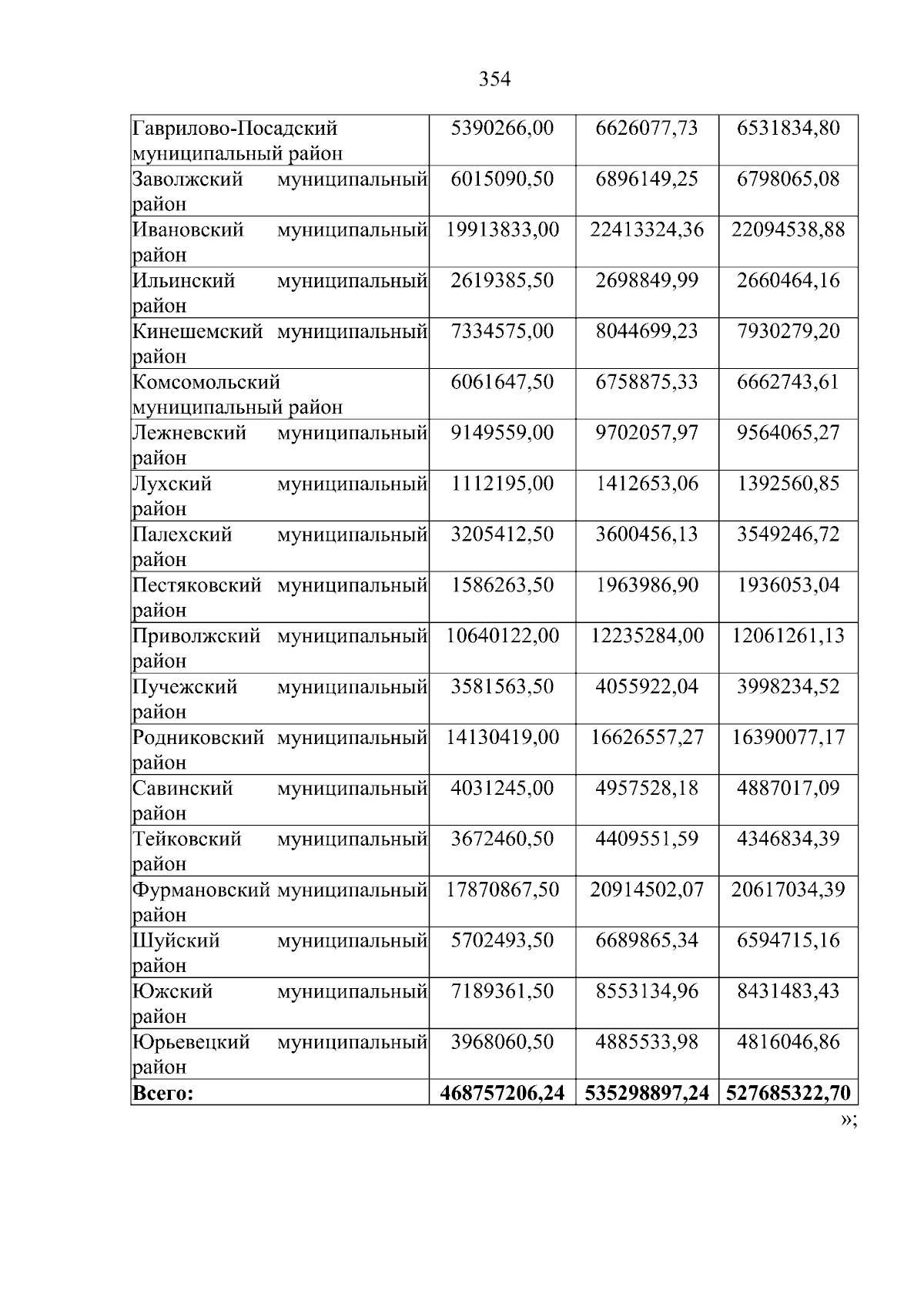
Закон Ивановской области от 17.12.2024 № 69-ОЗ
"О внесении изменений в Закон Ивановской области "Об областном бюджете на 2024 год и на плановый период 2025 и 2026 годов"
Номер опубликования: 3700202412180001
Дата опубликования: 18.12.2024
Страница №354 из 379:
Увеличить