Официальное опубликование правовых актов
ОФИЦИАЛЬНОЕ ОПУБЛИКОВАНИЕ
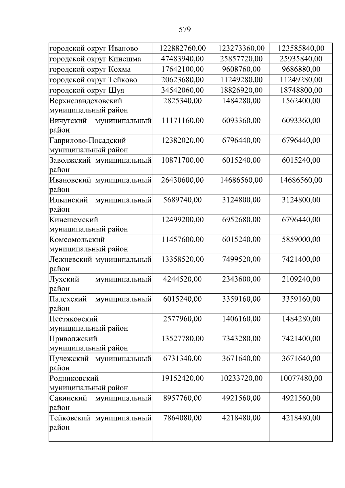
Закон Ивановской области от 02.10.2024 № 39-ОЗ
"О внесении изменений в Закон Ивановской области "Об областном бюджете на 2024 год и на плановый период 2025 и 2026 годов"
Номер опубликования: 3700202410030004
Дата опубликования: 03.10.2024
Страница №579 из 584:
Увеличить