Официальное опубликование правовых актов
ОФИЦИАЛЬНОЕ ОПУБЛИКОВАНИЕ
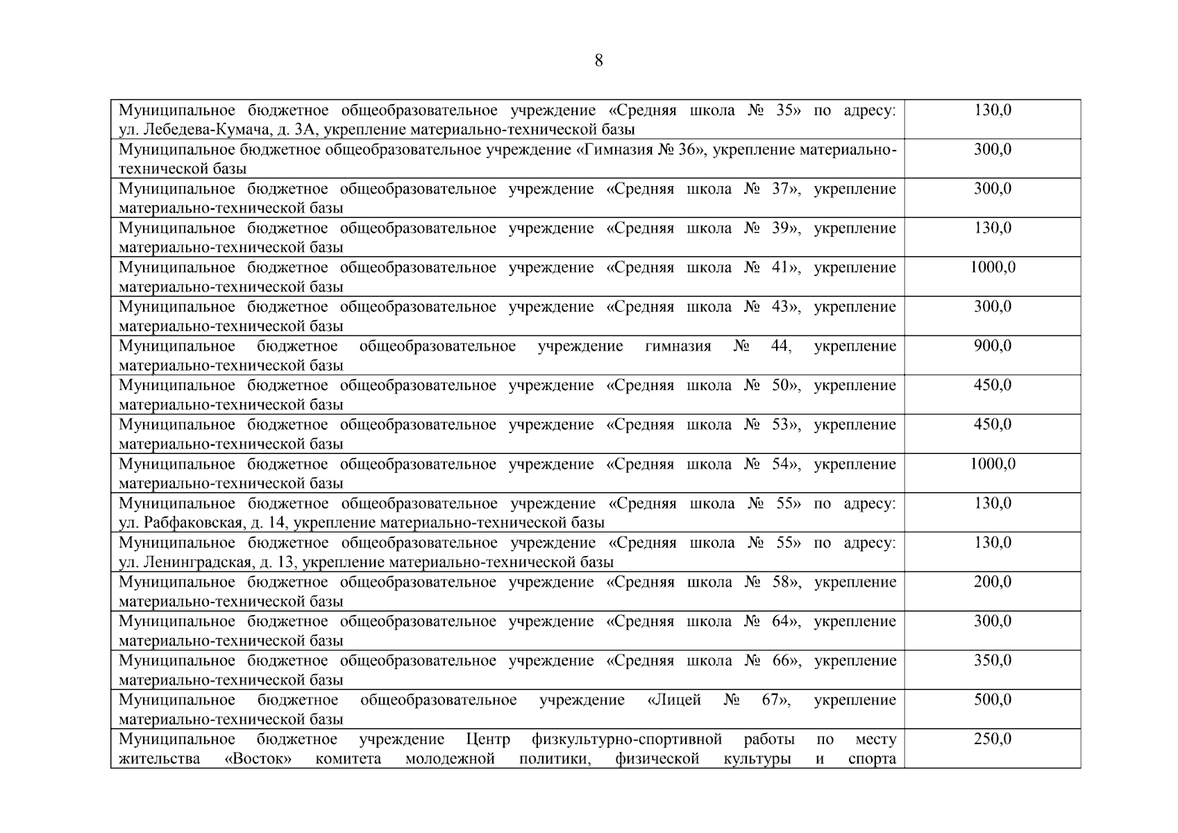
Закон Ивановской области от 02.10.2024 № 40-ОЗ
"Об утверждении перечня наказов избирателей на 2025 год"
Номер опубликования: 3700202410030003
Дата опубликования: 03.10.2024
Страница №8 из 20:
Увеличить