Официальное опубликование правовых актов
ОФИЦИАЛЬНОЕ ОПУБЛИКОВАНИЕ
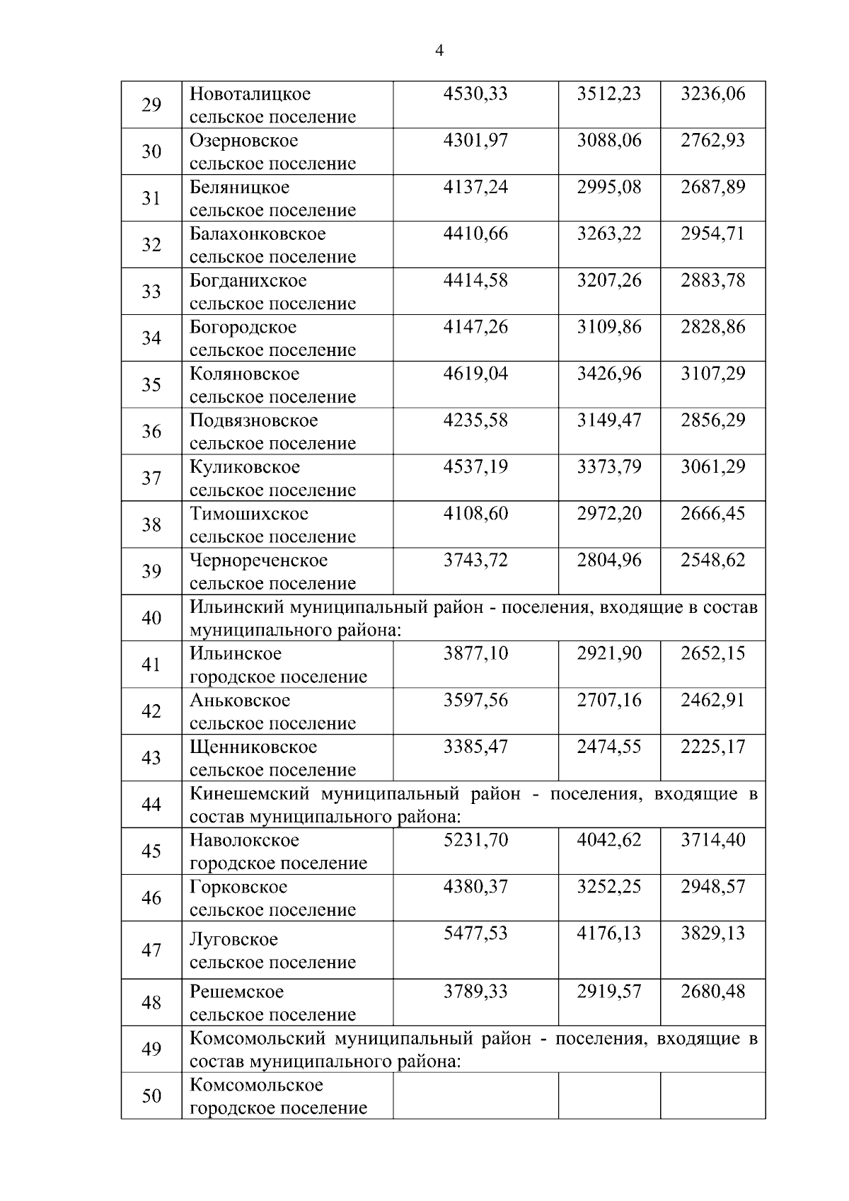
Постановление Правительства Ивановской области от 15.08.2024 № 359-п
"Об установлении размеров региональных стандартов стоимости жилищно-коммунальных услуг"
Номер опубликования: 3700202408160012
Дата опубликования: 16.08.2024
Страница №4 из 34:
Увеличить