Официальное опубликование правовых актов
ОФИЦИАЛЬНОЕ ОПУБЛИКОВАНИЕ
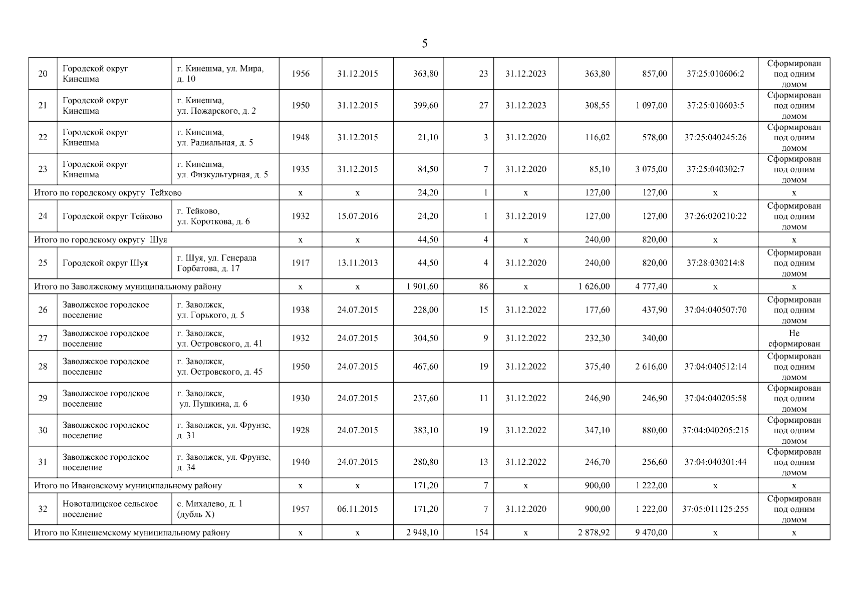
Постановление Правительства Ивановской области от 08.05.2024 № 200-п
"О внесении изменений в постановление Правительства Ивановской области от 09.04.2019 № 131-п "Об утверждении региональной адресной программы "Переселение граждан из аварийного жилищного фонда на территории Ивановской области на 2019 - 2024 годы"
Номер опубликования: 3700202405080004
Дата опубликования: 08.05.2024
Страница №5 из 18:
Увеличить