Официальное опубликование правовых актов
ОФИЦИАЛЬНОЕ ОПУБЛИКОВАНИЕ
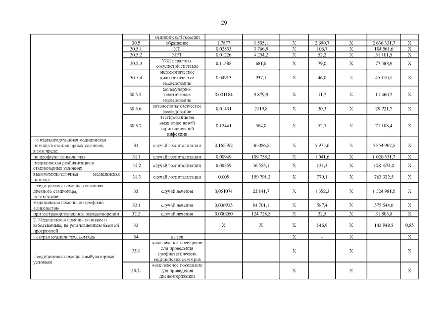
Постановление Правительства Ивановской области от 23.06.2021 № 283-п
"О внесении изменений в постановление Правительства Ивановской области от 20.02.2021 № 96-п "Об утверждении Территориальной программы государственных гарантий бесплатного оказания гражданам медицинской помощи на территории Ивановской области на 2021 год и на плановый период 2022 и 2023 годов"
Номер опубликования: 3700202106240008
Дата опубликования: 24.06.2021
Страница №29 из 32:
Увеличить