Официальное опубликование правовых актов
ОФИЦИАЛЬНОЕ ОПУБЛИКОВАНИЕ
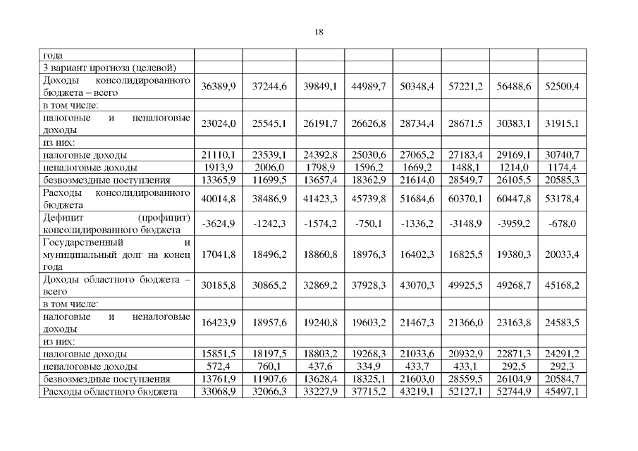
Постановление Правительства Ивановской области от 19.02.2021 № 94-п
"О внесении изменений в постановление Правительства Ивановской области от 15.02.2017 № 41-п "Об утверждении бюджетного прогноза Ивановской области на 2017 - 2030 годы"
Номер опубликования: 3700202102200022
Дата опубликования: 20.02.2021
Страница №18 из 25:
Увеличить