Официальное опубликование правовых актов
ОФИЦИАЛЬНОЕ ОПУБЛИКОВАНИЕ
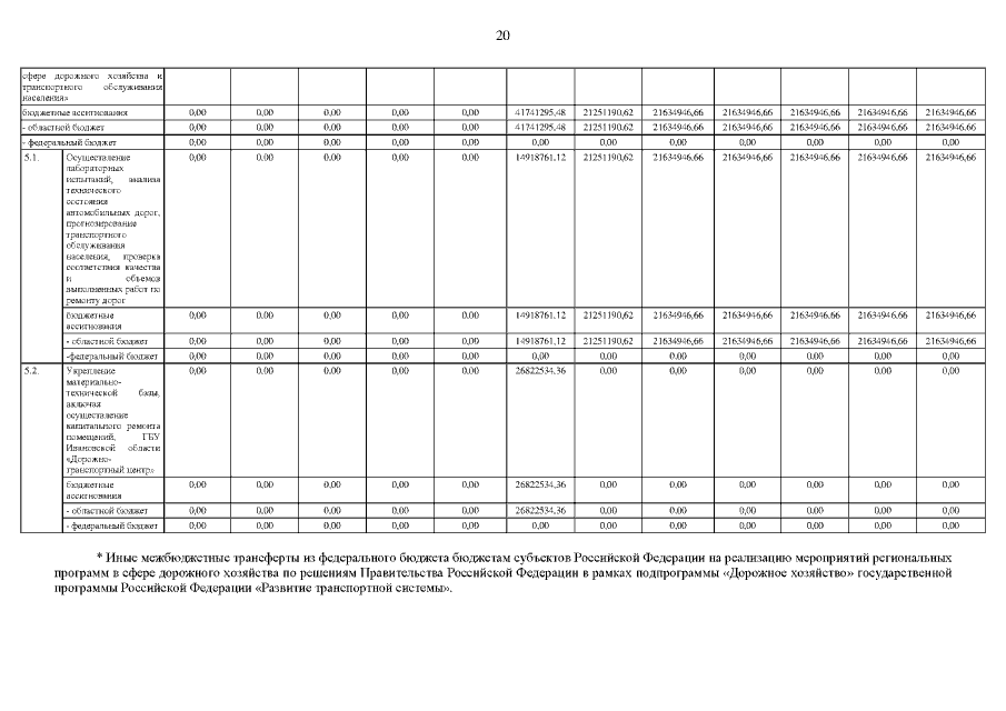
Постановление Правительства Ивановской области от 30.12.2020 № 700-п
"О внесении изменений в постановление Правительства Ивановской области от 13.11.2013 № 447-п "Об утверждении государственной программы Ивановской области "Развитие транспортной системы Ивановской области"
Номер опубликования: 3700202012300002
Дата опубликования: 30.12.2020
Страница №20 из 25:
Увеличить