Официальное опубликование правовых актов
ОФИЦИАЛЬНОЕ ОПУБЛИКОВАНИЕ
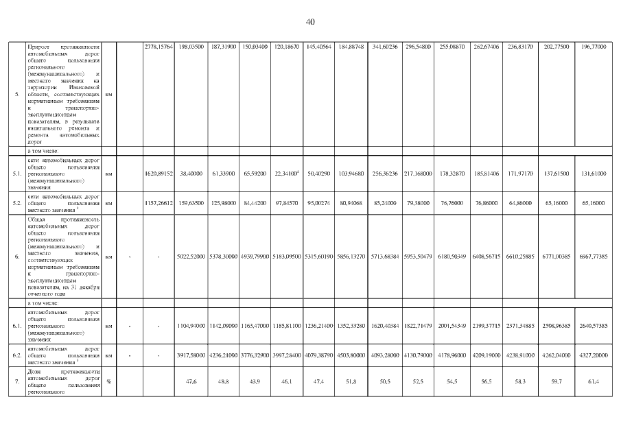
Постановление Правительства Ивановской области от 24.12.2020 № 658-п
"О внесении изменений в постановление Правительства Ивановской области от 13.11.2013 № 447-п "Об утверждении государственной программы Ивановской области "Развитие транспортной системы Ивановской области"
Номер опубликования: 3700202012250014
Дата опубликования: 25.12.2020
Страница №40 из 47:
Увеличить