Официальное опубликование правовых актов
ОФИЦИАЛЬНОЕ ОПУБЛИКОВАНИЕ
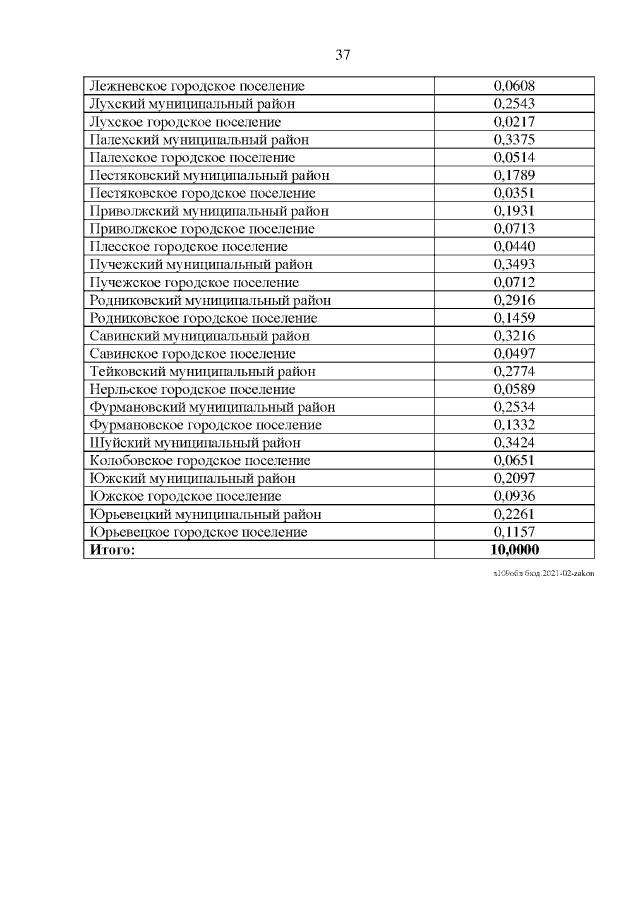
Закон Ивановской области от 23.12.2020 № 89-ОЗ
"Об областном бюджете на 2021 год и на плановый период2022 и 2023 годов"
Номер опубликования: 3700202012240001
Дата опубликования: 24.12.2020
Страница №37 из 1008:
Увеличить