Официальное опубликование правовых актов
ОФИЦИАЛЬНОЕ ОПУБЛИКОВАНИЕ
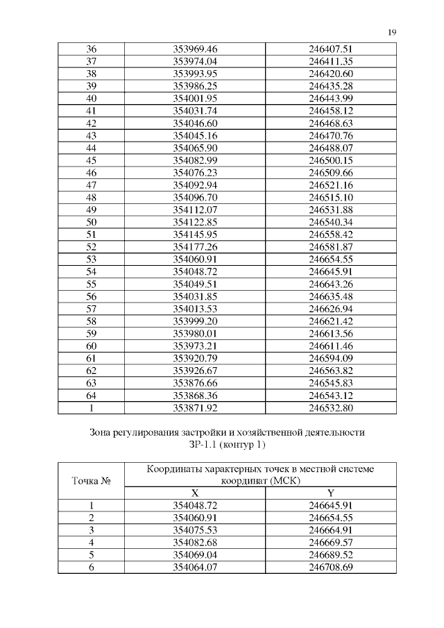
Постановление Правительства Ивановской области от 05.10.2020 № 489-п
"Об установлении зон охраны объекта культурного наследия федерального значения "Спасо-Березниковская церковь", 1682 г. и об утверждении требований к градостроительным регламентам в границах данных зон"
Номер опубликования: 3700202010060013
Дата опубликования: 06.10.2020
Страница №19 из 47:
Увеличить