Официальное опубликование правовых актов
ОФИЦИАЛЬНОЕ ОПУБЛИКОВАНИЕ
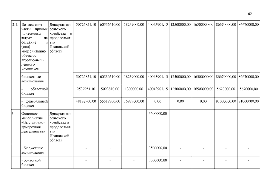
Постановление Правительства Ивановской области от 27.04.2020 № 177-п
"О внесении изменений в постановление Правительства Ивановской области от 13.11.2013 № 451-п "Об утверждении государственной программы Ивановской области "Развитие сельского хозяйства и регулирование рынков сельскохозяйственной продукции, сырья и продовольствия Ивановской области"
Номер опубликования: 3700202004270010
Дата опубликования: 27.04.2020
Страница №62 из 67:
Увеличить