Официальное опубликование правовых актов
ОФИЦИАЛЬНОЕ ОПУБЛИКОВАНИЕ
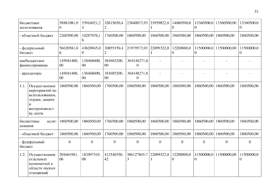
Постановление Правительства Ивановской области от 10.03.2020 № 108-п
"О внесении изменений в постановление Правительства Ивановской области от 13.11.2013 № 448-п "Об утверждении государственной программы Ивановской области "Развитие лесного хозяйства Ивановской области"
Номер опубликования: 3700202003120017
Дата опубликования: 12.03.2020
Страница №33 из 47:
Увеличить