Официальное опубликование правовых актов
ОФИЦИАЛЬНОЕ ОПУБЛИКОВАНИЕ
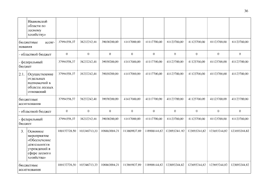
Постановление Правительства Ивановской области от 18.03.2019 № 74-п
"О внесении изменений в постановление Правительства Ивановской области от 13.11.2013 № 448-п "Об утверждении государственной программы Ивановской области "Развитие лесного хозяйства Ивановской области" на 2014 - 2020 годы"
Номер опубликования: 3700201903200029
Дата опубликования: 20.03.2019
Страница №36 из 49:
Увеличить