Официальное опубликование правовых актов
ОФИЦИАЛЬНОЕ ОПУБЛИКОВАНИЕ
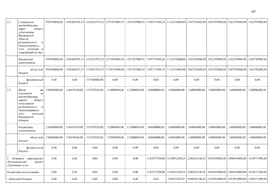
Постановление Правительства Ивановской области от 06.02.2019 № 32-п
"О внесении изменений в постановление Правительства Ивановской области от 13.11.2013 № 447-п "Об утверждении государственной программы Ивановской области "Развитие транспортной системы Ивановской области"
Номер опубликования: 3700201902080005
Дата опубликования: 08.02.2019
Страница №65 из 100:
Увеличить