Официальное опубликование правовых актов
ОФИЦИАЛЬНОЕ ОПУБЛИКОВАНИЕ
Постановление Правительства Ивановской области от 19.07.2018 № 212-п
"О внесении изменений в постановление Правительства Ивановской области от 13.11.2013 № 450-п "Об утверждении государственной программы "Развитие образования Ивановской области"
Номер опубликования: 3700201807190002
Дата опубликования: 19.07.2018
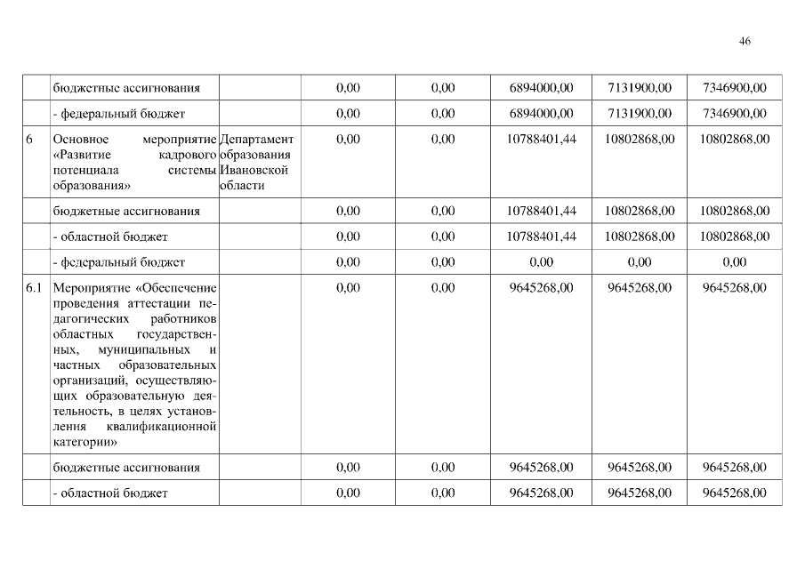
Страница №46 из 119:
Увеличить