Официальное опубликование правовых актов
ОФИЦИАЛЬНОЕ ОПУБЛИКОВАНИЕ
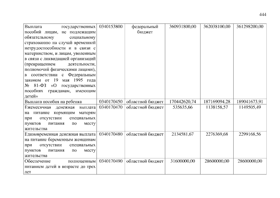
Закон Ивановской области от 11.12.2017 № 97-ОЗ
"О внесении изменений в Закон Ивановской области "Об областном бюджете на 2017 год и на плановый период 2018 и 2019 годов"
Номер опубликования: 3700201712120012
Дата опубликования: 12.12.2017
Страница №444 из 469:
Увеличить