Официальное опубликование правовых актов
ОФИЦИАЛЬНОЕ ОПУБЛИКОВАНИЕ
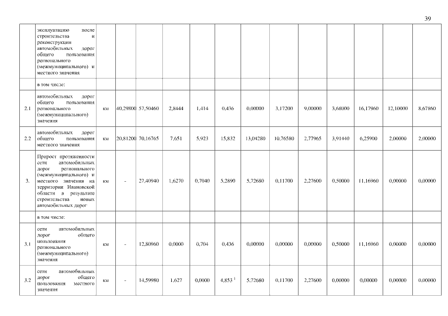
Постановление Правительства Ивановской области от 06.12.2017 № 446-п
"О внесении изменений в постановление Правительства Ивановской области от 13.11.2013 № 447-п "Об утверждении государственной программы Ивановской области "Развитие транспортной системы Ивановской области"
Номер опубликования: 3700201712070028
Дата опубликования: 07.12.2017
Страница №39 из 56:
Увеличить