Официальное опубликование правовых актов
ОФИЦИАЛЬНОЕ ОПУБЛИКОВАНИЕ
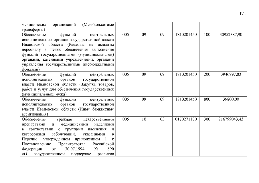
Закон Ивановской области от 02.10.2017 № 67-ОЗ
"О внесении изменений в Закон Ивановской области "Об областном бюджете на 2017 год и на плановый период 2018 и 2019 годов"
Номер опубликования: 3700201710050003
Дата опубликования: 05.10.2017
Страница №171 из 355:
Увеличить