Официальное опубликование правовых актов
ОФИЦИАЛЬНОЕ ОПУБЛИКОВАНИЕ
Постановление Правительства Ивановской области от 24.11.2016 № 388-п
"О внесении изменений в постановление Правительства Ивановской области от 13.11.2013 № 449-п "Об утверждении государственной программы Ивановской области "Развитие здравоохранения Ивановской области" на 2014 - 2020 годы"
Номер опубликования: 3700201611250016
Дата опубликования: 25.11.2016
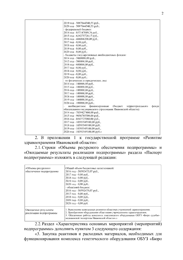
Страница №2 из 9:
Увеличить