Официальное опубликование правовых актов
ОФИЦИАЛЬНОЕ ОПУБЛИКОВАНИЕ
Указ Губернатора Ивановской области от 11.10.2016 № 173-уг
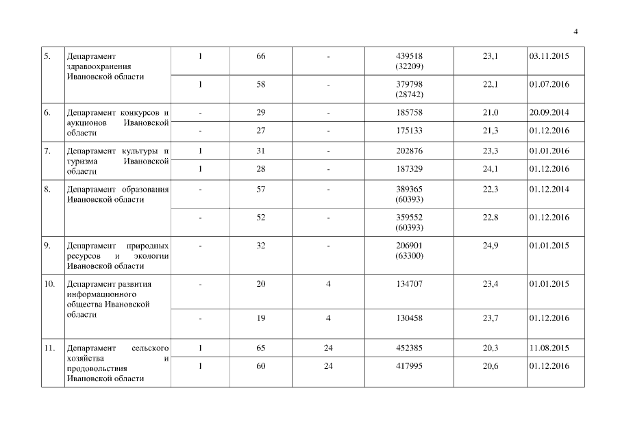
"О внесении изменения в указ Губернатора Ивановской области от 18.12.2012 № 241-уг "О предельной численности, фонде оплаты труда и ежемесячном денежном поощрении государственных гражданских служащих Ивановской области"
Номер опубликования: 3700201610170001
Дата опубликования: 17.10.2016
Страница №4 из 7:
Увеличить