Официальное опубликование правовых актов
ОФИЦИАЛЬНОЕ ОПУБЛИКОВАНИЕ
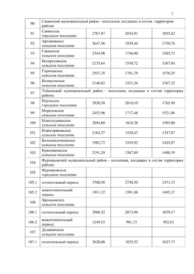
Постановление Правительства Ивановской области от 07.09.2016 № 299-п
"Об установлении размеров региональных стандартов стоимости жилищно-коммунальных услуг"
Номер опубликования: 3700201609090006
Дата опубликования: 09.09.2016
Страница №7 из 35:
Увеличить