Официальное опубликование правовых актов
ОФИЦИАЛЬНОЕ ОПУБЛИКОВАНИЕ
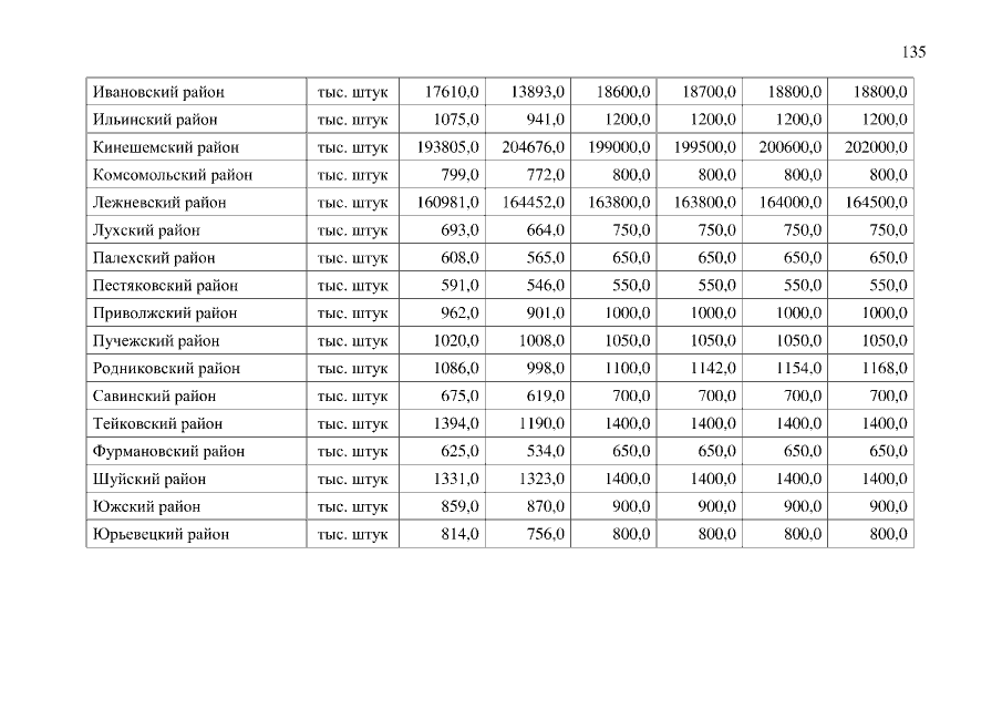
Постановление Правительства Ивановской области от 03.08.2015 № 372-п
"О прогнозе социально-экономического развития Ивановской области на 2016 год и плановый период 2017 и 2018 годов"
Номер опубликования: 3700201508060017
Дата опубликования: 06.08.2015
Страница №135 из 136:
Увеличить