Официальное опубликование правовых актов
ОФИЦИАЛЬНОЕ ОПУБЛИКОВАНИЕ
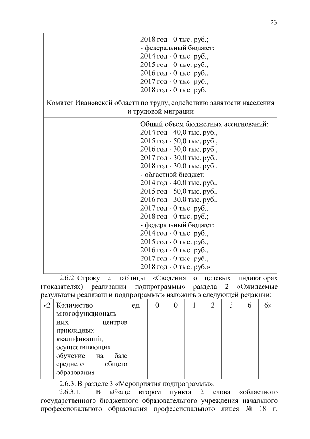
Постановление Правительства Ивановской области от 17.12.2014 № 534-п
"О внесении изменений в постановление Правительства Ивановской области от 13.11.2013 № 450-п "Об утверждении государственной программы "Развитие образования Ивановской области"
Номер опубликования: 3700201412220001
Дата опубликования: 22.12.2014
Страница №23 из 65:
Увеличить