Официальное опубликование правовых актов
ОФИЦИАЛЬНОЕ ОПУБЛИКОВАНИЕ
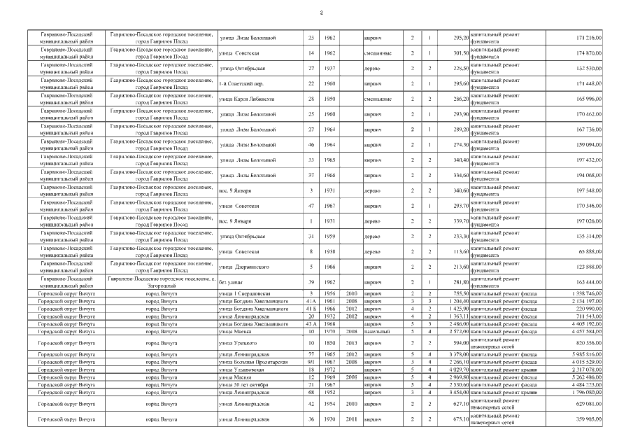
Постановление Правительства Ивановской области от 17.12.2014 № 542-п
"Об утверждении краткосрочного плана реализации региональной программы капитального ремонта общего имущества в многоквартирных домах, расположенных на территории Ивановской области, на 2015 год"
Номер опубликования: 3700201412190019
Дата опубликования: 19.12.2014
Страница №3 из 38:
Увеличить