Постановление Правительства Ивановской области от 17.12.2014 № 542-п
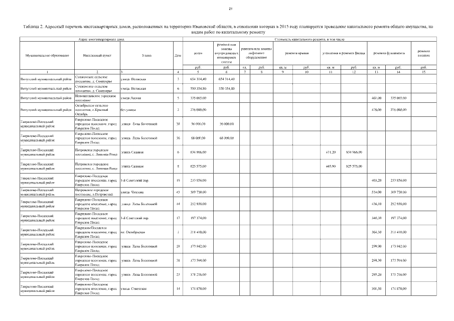
"Об утверждении краткосрочного плана реализации региональной программы капитального ремонта общего имущества в многоквартирных домах, расположенных на территории Ивановской области, на 2015 год"
"Об утверждении краткосрочного плана реализации региональной программы капитального ремонта общего имущества в многоквартирных домах, расположенных на территории Ивановской области, на 2015 год"
Номер опубликования: 3700201412190019
Дата опубликования:
19.12.2014
