Официальное опубликование правовых актов
ОФИЦИАЛЬНОЕ ОПУБЛИКОВАНИЕ
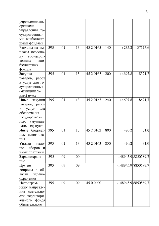
Закон Ивановской области от 16.12.2014 № 106-ОЗ
"О бюджете территориального фонда обязательного медицинского страхования Ивановской области на 2015 год и на плановый период 2016 и 2017 годов"
Номер опубликования: 3700201412190005
Дата опубликования: 19.12.2014
Страница №18 из 31:
Увеличить