Официальное опубликование правовых актов
ОФИЦИАЛЬНОЕ ОПУБЛИКОВАНИЕ
Приказ министерства природных ресурсов и экологии Воронежской области от 20.03.2026 № 150
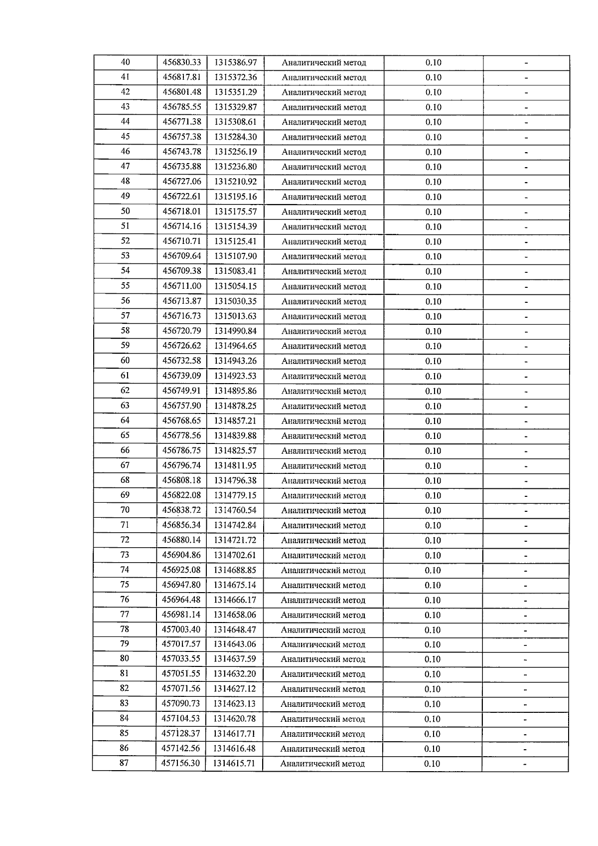
"Об установлении зон санитарной охраны двух водозаборов в составе четырех действующих скважин №№ 48435/1, 48437/3, 42295/4, 80302/2 и одной резервной скважины № 80302/1/5 для питьевого, хозяйственно-бытового и технологического водоснабжения Общества с ограниченной ответственностью "Давыдовский овощесушильный завод" (ООО "ДОЗ")"
(Зарегистрирован 06.04.2026 № 340)
Номер опубликования: 3601202604130001
Дата опубликования: 13.04.2026
Страница №26 из 28:
Увеличить