Официальное опубликование правовых актов
ОФИЦИАЛЬНОЕ ОПУБЛИКОВАНИЕ
Приказ управления по охране объектов культурного наследия Воронежской области от 09.02.2026 № 71-01-05/18
"О внесении изменений в приказ управления по охране объектов культурного наследия Воронежской области от 28.11.2019 № 71-01-07/326"
(Зарегистрирован 04.03.2026 № 159)
Номер опубликования: 3601202603100011
Дата опубликования: 10.03.2026
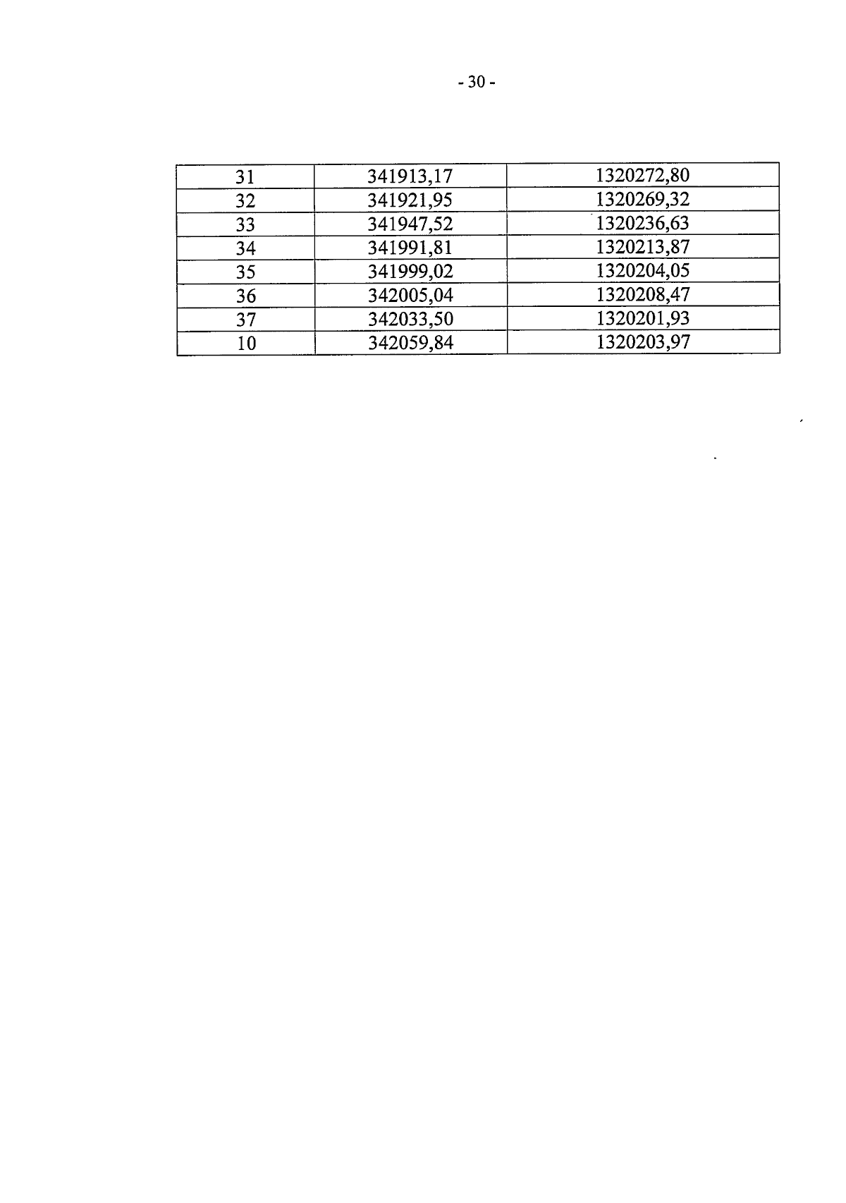
Страница №30 из 44:
Увеличить